Naturalistic Philosophy

Studied speaking

Menu Skip to content
  • Home
  • About
  • Informal Hour
  • Five-Q Interviews
  • Worthy reads
  • Recommended sites
  • Other Articles

Tag: atheist

February 11, 2021February 11, 2021 Jonno Chipchase

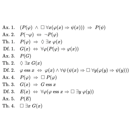
Remarks on God, and Logic

Follow me on Twitter

My Tweets

Recent Comments

rsbakker's avatarrsbakker on Philosophy: A Just-So Story
Jonno Chipchase's avatarJ.J Chipchase on Philosophy: A Just-So Story
rsbakker's avatarrsbakker on Philosophy: A Just-So Story
Jonno Chipchase's avatarJ.J Chipchase on Philosophy: A Just-So Story
rsbakker's avatarrsbakker on Philosophy: A Just-So Story

Tags

about academic Adoption Problem AI apologetics Artificial Intelligence atheism atheist belief Bertrand Russell Christopher Hitchens content Debate Ethics Evolution faith Free free will frege god harris Informal Hour Interview JJ Chipchase Jonno Chipchase Kant kripke language lecture Lessons Letters linguistics Logic Massimo Pigliucci mathematics Maths meaning Metaphilosophy metaphysics mind morality naturalism Naturalistic Philosophy Ontic structural realism opinion ought implies can Philosopher Philosophical philosophy Podcast problems Psychology quine R. Scott Bakker religion sam sam harris Saul Saul Kripke science Stephen Law Stephen Schiffer Steven French Tarski theism theist theology Thoughts truth Turing Update Vlad Chituc Will William Lane Craig Wittgenstein
Blog at WordPress.com.
  • Subscribe Subscribed
    • Naturalistic Philosophy
    • Join 41 other subscribers
    • Already have a WordPress.com account? Log in now.
    • Naturalistic Philosophy
    • Subscribe Subscribed
    • Sign up
    • Log in
    • Report this content
    • View site in Reader
    • Manage subscriptions
    • Collapse this bar